In Part 1 of the Western Hudson Bay (WHB) polar bear story, I promised to explore the idea that rather than declining due to the effects of global warming, WHB polar bear populations may simply be returning to ‘normal’ after the rapid population increase that followed the intense over-harvests that occurred between 1890 and 1930 and again from 1945 to 1970.
Derocher and Stirling (1995:1664) had this to say about the life history features (like incidence of triplets and age of weaning) that made the polar bears of WHB unique:
“The results of our analyses suggest that the unique reproductive characteristics of polar bears in western Hudson Bay in the 1960s and 1970s were either a function of a population increasing from a depleted state and feeding on a relatively abundant prey base, or density-independent fluctuations in prey population size, or availability due to sea ice variation.“
In my last post, I discussed some of the evidence for how polar bear reproductive characteristics had changed since 1985. But how different were WHB polar bears, before and after 1985, from the other populations that had been dramatically reduced between 1890 and 1970, such as those in Svalbard/Barents Sea and Davis Strait?
There are two factors to consider in this recovery from over-harvest: population size changes and reproductive characteristics. Turns out, we don’t know much about the Davis Strait subpopulation but we do know a bit about Svalbard/Barents Sea bears since the 70s. And the Svalbard/Barents Sea vs. WHB comparison is a bit of an eye-opener.
POPULATION SIZE
Regarding changes over time in subpopulation sizes, we must not forget that population numbers at any given time are estimates – they are derived from mathematical models that vary in their assumptions, limitations and input information (including counts of animals from field surveys). Because these models have changed over time, subpopulation estimates of polar bears are seldom truly comparable, either within or between regions – not a perfect situation, but it’s all we’ve got.
Davis Strait
The Davis Strait subpopulation (see Fig. 1) was one of those heavily harvested by whalers in the 1890-1930 era. The population in the late 1970s was estimated at about 900 bears (Derocher et al. 1998:27), with this caveat: “the initial population estimate of 900 (Stirling et al. 1980) was based on a subjective correction from the original mark recapture calculation of 726, which was felt to be too low because of possible bias in sampling.”

Figure 1. The 19 polar bear subpopulations, with the Western Hudson Bay (WH or WHB) region marked. Note that parts of Davis Strait, between Labrador and southern Greenland, lays at about the same latitude as WHB. Polar bears in WHB, Davis Strait and the Barents Sea (east of northern Greenland) suffered particularly high levels of harvests between 1890 and 1930 and again between 1945 and 1970. Modified from map provided by the IUCN Polar Bear Specialist Group.
By 1993, this estimate had been increased to 1,400, to “account for the realization that the bias in sampling caused by the inability of researchers to survey the extensive area of offshore pack ice was greater than had previously been thought and, to account for additional scientific information (I. Stirling and M.K. Taylor, unpublished data)(Derocher et al. 1998:27)”. This suggests we should use 1,400 as the baseline population figure for Davis Strait.
The most recent estimate was 2,142, from studies in 2007 (Obbard et al. 2010:116), an overall increase of 153% over the 1993 revised estimate. So, while we know the Davis Strait subpopulation must have increased from a depleted point, we don’t have a trustworthy number for the early period (the late 1970s), only a “mid-point” estimate.
Western Hudson Bay
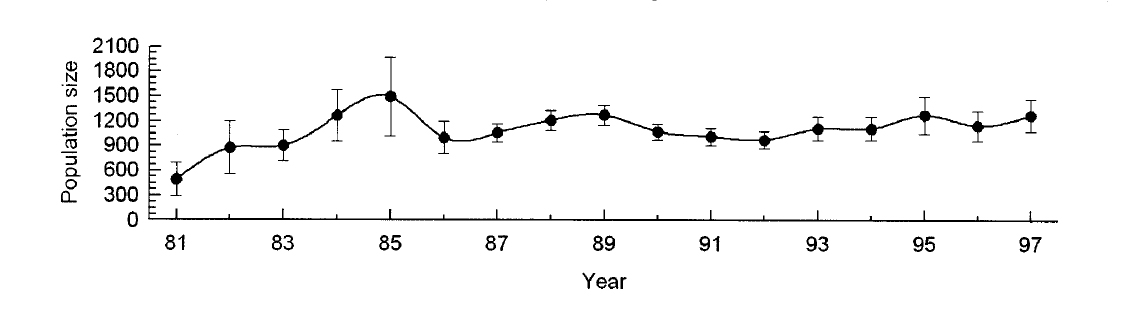
The WHB population in 1981 was estimated at about 500 animals (range in estimate, 300-700)(Stirling et al. 1999), see Fig. 2 below. As this graph shows, the estimate in 1985 was about 1,525 bears (with a large range of possible error: 1,050-2,000) – an increase of over 1,000 animals in 4 years. If there are questions regarding the veracity of these figures – like the caveats given for Davis Strait – they are not discussed in this paper.
By the time of the 1993 Polar Bear Specialist Group report (Wiig et al. 1995:19), the population estimate for WHB was given as 1,200 (survey year not given, perhaps 1989? See Fig. 2) but with a caution that this number “should be considered conservative [i.e. low] because a portion of the southern range has not yet been covered by the mark-recapture program.” This gives some credence to the earlier 1,525 estimate.
By 1995, the population estimate was again given as 1,200 without caveats (Derocher et al. 1998:21).

Figure 2. WHB population estimate graph for 1981 to 1997 that appears in Stirling et al. 1999. Note the spike of sorts for 1985, of 1525 (range about 1050-2000).
It appears that the population increased from about 500 animals in 1981 to about 1,525 in 1985, an increase of 305%. The population then fell to about 1,200 animals in the mid-90s, a level about 240% more than the first census.
In 2009, the WHB subpopulation was estimated at 935 individuals (range 791-1079), based on data collected in 2004 (Obbard et al. 2010:67), down from 1200 in 1997 (Lunn et al. 2001) – a decline to 187% of the first census (similar to the increase estimated in Davis Strait).
Accepting the numbers as given, it appears there had been a substantial increase in the WHB population prior to 1985, with a modest decline after that – but even still, in 2004 there were almost twice as many polar bears in western Hudson Bay than there had been 23 years before.
Svalbard/Barents Sea
The population estimate for the Barents Sea subpopulation was 2,000-5,000 in 1982 (Lunn et al. 2001), but the accuracy was considered “poor.” By 2004, the estimate was given as 2,650 (1,900-3,600) but the status and trends were considered “data deficient” (Obbard et al. 2010:66) and the following caveat included in the “comments” section: “There was likely an increase in the subpopulation size after 1973 until recently. Current growth trend is unknown.”
In other words, the population size at the time harvesting polar bears was banned in Svalbard (1973) was unknown and ten years later, the estimate was so tenuous as to be useless. The 2004 estimate is probably the only one that can be relied upon, which means we have no real idea of how the population responded to the intense levels of harvesting prior to the 1960s and which were particularly horrific in the early 1900s.
Dag Vongraven and colleagues (in Obbard et al. 2010:153) had this to say about Barents Sea polar bears:
“This population has either historically been considerably larger or it had a significant immigration from neighbouring populations in order to sustain the profound outtake of about 300 animals per year by hunting between 1870 and 1970. The population trend is unknown, but it is likely that the population is increasing only slowly or that the population growth has staggered after more than 30 years under protection.” [note I have shown previously that this estimate of harvest “outtake” in the late 1800s and early 1900s is a profound understatement, see here]
Andrew Derocher (2005), in his report on his study of Svalbard area polar bears between 1988 and 2002, says this:
“…estimates derived in the 1970s-1980s, when the population was thought to be recovering from over-harvest (Larsen 1986), were of questionable reliability when produced and with the passage of 20 years, have little relevance for the current state of the population.”
…Further research in the population is needed to determine whether the changes in the population are part of longer-term fluctuations or directional changes associated with density-dependence or climate change.
…given that the population may be showing density-dependent responses, it is not possible to differentiate the climatic effects from population effects.”
“Density-dependent responses” or “density-dependent changes” means a population is declining because it got larger, during a period of population growth, than its sustainable size – in other words, a natural decline following population growth. So Derocher’s comment means that the population decline in Svalbard may be entirely natural.
REPRODUCTIVE CHARACTERISTICS
Davis Strait
There are no data available on cub production, condition of females or age at weaning for the polar bears of this region.
Western Hudson Bay
Regarding reproductive life history parameters in WHB, age of first reproduction increased from 4 years to 5 and the proportion of independent yearlings decreased after 1985:
“The proportion of yearlings that were independent in the annual capture samples fluctuated widely at 3-4 year intervals, but overall the maximum proportions have declined from about 60% in 1982 to 15-20% since 1991 (Fig. 6). There was no statistically significant relationship between the proportion of lone yearlings and the time of breakup in the same year (r =- 0.205, n = 14, p = 0.46).” Stirling et al. (1999:301)
Stirling and Derocher, in their recent summary paper, parse the numbers somewhat differently than Stirling et al. 1999 but the overall pattern is similar (note the different start dates, more definitive statements and the “unpublished data” attribution for the most recent decline, see more on that issue here):
“the proportion of independent yearlings fell from over 81% before 1980 to a mean of 34% in 1980-1992 (Derocher & Stirling, 1995). By the late 1990s, the proportion of independent yearlings dropped to <10% (Stirling et al., 1999) and by the early 2000s was almost nonexistent (I. Stirling, unpublished data).” Stirling and Derocher (2012:2698)
The incidence of triplets in WHB did not change between 1980 and 1992 – see Fig. 3 below (about 12% of all litters were triplets). While Ian Stirling claims that recently “triplets are rarely seen,” he has not provided data to back up this assertion (see discussion in previous post here).

Figure 3. Incidence of twins and triplets among western Hudson Bay (WHB) and southern Hudson Bay (SHB) subpopulations (left of the bar in the middle), compared to other northern regions (Svalbard in the Barents Sea, Wrangel Island in the Chukchi Sea, “Northern Regions, Canada,” subpopulations not specified. Data from references in square brackets [#] below.
In addition, as Stirling et al (1999:304) point out regarding data for 1981-1998 in WHB:
“For about the last 12 years [ending 1998], estimates of population size have remained relatively constant (Lunn et al., 1997; this study), indicating that the declines in condition and natality have not led to a decline in population.“
In other words, the well-documented change from weaning at 2.5 years rather than 1.5 years had no immediate negative impact on the population.
Svalbard/Barents Sea
From 1972 to 1980, the incidence of triplets was officially 2-4% but may have been higher because the surveys were only done around maternity dens in spring. Larsen (1985:324) says this about the average litter sizes:
“The observed average litter size of 1.81 from Svalbard denning areas between 1973 and 1980 (Table 2) is probably too low….During surveys, females were often seen in den openings and one or both COY’s [cubs of the year] remained inside. Some COY’s may, therefore, have been overlooked during litter counts….It is probable that true average litter size is close to 2.0 during den emergence.” [if so, that would mean the rate of triplets would have been higher than 4%]
Wiig (1998:31), during his study of Svalbard reproduction between 1988 and 1993, noted a 2 year birth interval in a number of bears, suggesting that as in WHB, a signficant percentage of cubs were weaned at 1.5 years.
Andrew Derocher (2005), in his report on Svalbard polar bear research between 1988 and 2002, calculated litter sizes but did not report numbers of independent yearlings specifically. He had this to say:
…The mean litter size of cubs and yearlings, litter production rate and natality found in this study were similar to those reported from other populations.
…The changes in age-structure, reproductive rates and body length suggest that recovery from over-harvest continued for almost 30 years after harvest ended in 1973 and that density-dependent changes are perhaps being expressed in the population.
…The dynamics of this population are only partially understood and are related to a history of intense harvest that resulted in a severely depleted population (Larson 1986).
SUMMARY
We know that the bears of WHB, Svalbard/Barents Sea and Davis Strait all went through an extended period of intense harvests prior between 1890 and the late 1960s and therefore, all three populations were likely well below pre-harvest levels in the early 1970s.
We have evidence of significant population increases since then in two of them (Davis Strait and WHB – the Barents Sea increase is assumed, not documented), and details on changes to reproductive characteristics during that population increase in two others (Barents Sea and WHB).
For WHB, we have evidence that absolute numbers of polar bears as well as reproductive parameters declined after the population growth phase (although some details have not been released, see previous post), bringing the reproductive characteristics on par with levels documented in the Canadian High Arctic, where polar bears were minimally impacted by fur traders, whalers and sport hunters.
Similarly, there is evidence from Svalbard that the bear population there is no longer in a growth phase following prior overharvests, since it now has similar proportions of triplets and independent yearlings as other populations in the Canadian High Arctic.
Here’s the difference: in Svalbard, the fact that reproductive parameters (including percentages of triplets born) are now similar to High Arctic populations are considered either evidence of a natural decline after years of high growth rates or effects associated with changes in sea ice conditions (with no evidence strongly indicating one rather than the other) while in Western Hudson Bay, these same changes are now blamed exclusively on a declining trend in sea ice cover attributed to anthropogenic global warming.
References
Derocher, A., Garner, G.W., Lunn, N.J., and Wiig, Ø. (eds.) 1998. Polar Bears: Proceedings of the 12th meeting of the Polar Bear Specialists Group IUCN/SSC, 3-7 February, 1997, Oslo, Norway. Gland, Switzerland and Cambridge UK, IUCN.
Derocher, A.E. and Stirling, I. 1995. Temporal variation in reproduction and body mass of polar bears in western Hudson Bay. Canadian Journal of Zoology 73:1657-1665.
Derocher 2005. Population ecology of polar bears at Svalbard, Norway. Population Ecology 47:267-275.
Larsen, T. 1985. Polar bear denning and cub production in Svalbard, Norway. Journal of Wildlife Management 49:320-326. http://www.jstor.org/discover/10.2307/3801524?uid=3739400&uid=2&uid=3737720&uid=4&sid=21101182267021
Lunn, N.J., Schliebe, S., and Born, E.W. (eds.). 2001. Polar Bears: Proceedings of the 13th meeting of the Polar Bear Specialists Group IUCN/SSC, 23-28 June , 2001, Nuuk, Greenland. Gland, Switzerland and Cambridge UK, IUCN.
Obbard, M.E., Theimann, G.W., Peacock, E. and DeBryn, T.D. (eds.) 2010. Polar Bears: Proceedings of the 15th meeting of the Polar Bear Specialists Group IUCN/SSC, 29 June-3 July, 2009, Copenhagen, Denmark. Gland, Switzerland and Cambridge UK, IUCN.
Ramsay, M.A. and Stirling, I. 1988. Reproductive biology and ecology of female polar bears (Ursus maritimus). Journal of Zoology London 214:601-624.
http://onlinelibrary.wiley.com/doi/10.1111/j.1469-7998.1988.tb03762.x/abstract
Stirling, I. and Derocher, A.E. 2012. Effects of climate warming on polar bears: a review of the evidence. Global Change Biology 18:2694-2706 doi:10.1111/j.1365-2486.2012.02753.x
Stirling, I., Lunn, N.J. and Iacozza, J. 1999. Long-term trends in the population ecology of polar bears in Western Hudson Bay in relation to climate change. Arctic 52:294-306.
http://arctic.synergiesprairies.ca/arctic/index.php/arctic/article/view/935/960
Van de Velde (OMI), F., Stirling, I. and Richardson, E. 2003. Polar bear (Ursus maritimus) denning in the area of the Simpson Peninsula, Nunavut. Arctic 56:191-197. http://arctic.synergiesprairies.ca/arctic/index.php/arctic/article/view/615
References for Figure 3.
[1] Ramsay, M.A. and Stirling, I. 1988. Reproductive biology and ecology of female polar bears (Ursus maritimus). Journal of Zoology London 214:601-624.
http://onlinelibrary.wiley.com/doi/10.1111/j.1469-7998.1988.tb03762.x/abstract
[2] Derocher, A.E. and Stirling, I. 1995. Temporal variation in reproduction and body mass of polar bears in western Hudson Bay. Canadian Journal of Zoology 73:1657-1665. [uses data from ref. 1 plus additional from 1987-1992]
[3] Kolenosky, G.B. and Prevett, J.P. 1983. Productivity and maternity denning of polar bears in Ontario. Bears: Their Biology and Management5:238-245. http://www.jstor.org/discover/10.2307/3872543?uid=3739400&uid=2&uid=3737720&uid=4&sid=21101182267021
[4] Larsen, T. 1985. Polar bear denning and cub production in Svalbard, Norway. Journal of Wildlife Management 49:320-326. http://www.jstor.org/discover/10.2307/3801524?uid=3739400&uid=2&uid=3737720&uid=4&sid=21101182267021
[5] Derocher 2005. Population ecology of polar bears at Svalbard, Norway. Population Ecology 47:267-275.
http://www.springerlink.com.ezproxy.library.uvic.ca/content/765147518rp35613/fulltext.pdf
[6] Uspenski, S.M. and Kistchinski, A.A. 1972. New data on the winter ecology of the polar bear (Ursus maritimus, Phipps) on Wrangel Island. Bears: Their Biology and Management 2:181-197.

You must be logged in to post a comment.