This year, due to an early freeze-up of the sea ice, many polar bears left the Western Hudson Bay area (including Churchill) the week of November 6-12. However, the folks who produce Churchill’s problem polar bear statistics did not generate a report for that week, so we are left with assessing the final freeze-up situation based on the previous report (see it here) and the one they have just released for the week of 13-19 November (below), the 18th week of the season (which began July 10):

The “quiet” week was almost certainly due to the fact that very few bears were still around, having left the previous week.
While it is apparently true that a south wind briefly blew ice away from the area around the town of Churchill, most bears had left by that point and there was plenty of ice to the north and southeast for bears that had congregated outside the town to wait for the ice to form.
Churchill sits on a point of land (see map below) that makes new ice vulnerable to winds from the south but this year impact was small: the north winds returned within a few days and so did the ice.

By this week there were still a few stragglers that hadn’t left shore but most of these were mothers with cubs, as well as young bears living on their own, who often hold back to avoid dangerous encounters with adult males at the ice edge.
A few adult males that were still in excellent condition after 4 months ashore without food seemed in no particular hurry to resume hunting. In part, this may have been due to the rather foul weather prevalent since the first week of November (with howling winds, low temperatures and blowing snow much of the time).
You can see in the chart below just how much more ice there was for the week of 20 November compared to average — all those dark and light blue areas along the west coast of Hudson Bay (and east of Baffin Bay) indicate more ice than usual. Even Southern Hudson Bay has enough shore ice for bears to resume hunting. Foxe Basin (to the north of Hudson Bay) has less ice than usual (red and pink) but there is still enough ice for polar bears there to begin their fall hunting, as the chart above makes very clear.

Freeze-up and bear movement offshore were about three weeks earlier this year in Western Hudson Bay compared to 2016, which made a huge difference to the number of problem bears in Churchill, see below.
UPDATE 23 November 2017: CIS ice chart for today showing the ice forming in the northwest sector of Hudson Bay

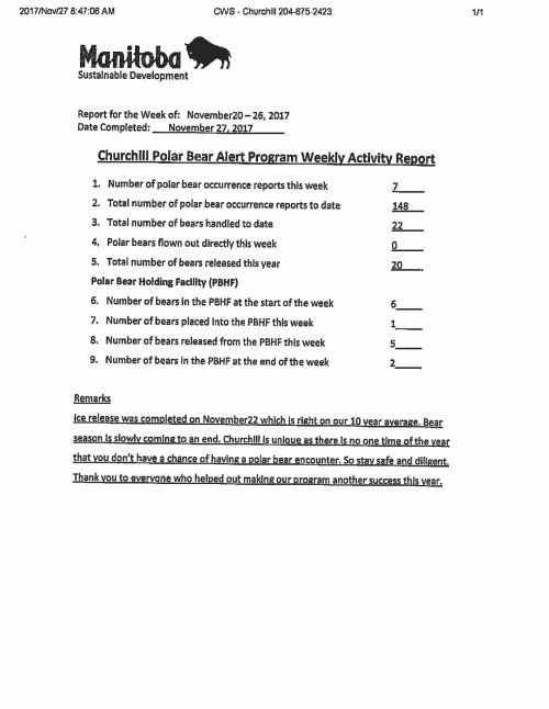
UPDATE 27 November 2017: Final problem polar bear report copied below, issued by the town of Churchill. As noted above, the fact that some bears remained onshore into last week was a very local anomaly not experienced over the rest of the region.



First month for Polar Bear Science – Aug, 2012
First posts went up July 26.
Total views @ Aug. 31 – 2454
Total views:
July 2012 – 567
Aug. 2012 – 1887
Over the last three weeks, views have been >600/week, an average of 91/day.
Largest spikes in readership were generated not by new posts (surprise!) but by media coverage:
1) television, newspaper and radio interviews associated with my lecture at the University of Toronto Aug. 14, “Polar Bears: Outstanding Survivors of Climate Change”;
2) one of my posts was featured at Climate Depote on Aug. 31.
I am happy to report that so far, all of the comments I have received via the “comments/tips” page have been positive.
No one has yet asked for references. So, just to be clear, I am happy to send pdfs of any references I cite in my posts (if I have them – not always available, e.g. book chapters). Simply use the “Requests” contact page. Just because you don’t have access to a university library should not mean you can’t get to the science. Don’t take my word for anything – if you have doubts about what the research papers say, go to the source. Just ask!
I felt one comment by a reader was worth posting, so with their permission, I added it to the post as an update. Another commenter sent me photos, which I happily added, noted as an update.
I’ve got some interesting posts lined up, including another book review – stay tuned.
Enjoy the rest of your long weeekend.
PS. Huge thanks to Tom Nelson for highlighting my posts and Hilary Ostrov for technical advice to this novice blogger.
Comments Off on First month for Polar Bear Science – Aug, 2012
Posted in Uncategorized
Tagged comments, media, stats